17+ chattal mortgage

Save Real Money Today. Web The average rate for a 15-year fixed mortgage is 618 which is an increase of 17 basis points from seven days ago.


File Chattel Mortgage Signed Joseph Lore And Firmin Desloge Washington County February 16 1872 Jpg Wikimedia Commons

Web Chattel mortgage sometimes abbreviated CM is the legal term for a type of loan contract used in some states with legal systems derived from English law.

. Ad Compare Top-Rated Lenders And Lower Your Monthly Mortgage Payments. The term chattel mortgage refers to a type of loan that is principally used to fund the purchase of business assets. Ad We Help You Get Your Best Deal Possible On Your Loans Period.

Its Fast Simple. Web 17 following stronger-than-expected retail sales. Theres also the fact that processing fees and loan amounts are up to 50 lower on.

Low Interest Online Lenders Comparison Reviews Top Brands Free Online Offers. Under a typical chattel. While the loan is being repaid the borrower.

New single or multi-section manufactured homes are. Lenders Are Competing For Your Business Which Means You Get The Most Competitive Offers. Apply Today Save Money.

Ad We Help You Get Your Best Deal Possible On Your Loans Period. A chattel mortgage also known as a secured transaction is a loan that can be obtained from a bank or financial institution using some sort of movable personal propertypossessions. Maximum loan amount is 275000.

Veterans Use This Powerful VA Loan Benefit For Your Next Home. Lenders more commonly refer to chattel loans by the type of property being financed such as a mobile home loan or farm equipment loan. Web For one thing chattel loans are typically much shorter than with a traditional mortgage.

Web What is Chattel Mortgage. Web Refinance Chattel Mortgage Feb 2023 chattel mortgage companies chattel in california chattel mortgages manufactured homes chattel mortgage chattel home what is. Receive 1000 Off On Pre-Approved Loans.

Lock In Lower Monthly Payments When You Refinance Your Home Mortgage. It is similar to a regular. Compare Lenders And Find Out Which One Suits You Best.

Web A chattel mortgage is a type of mortgage used to purchase movable property like a manufactured home but not the land the property sits on. Security agreement How Does a. Web Qualifying for a Chattel loan Minimum FICO score is 575 Minimum loan amount is 35000.

The creditor lends the money to a borrower that wants to purchase or finance a new or used car but does. Lenders Are Competing For Your Business Which Means You Get The Most Competitive Offers. Ad Get the Great Pennymac Service Combined With a Customized Term Made Just For You.

Web A common example of a chattel mortgage is a car loan. Web Apr 9 2014. Comparisons Trusted by 55000000.

Ad Calculate Your Payment with 0 Down. Ad 5 Best House Loan Lenders Compared Reviewed. Web A chattel mortgage is a type of loan that is secured by a movable piece of property.

Compare the Best Mortgage Lender that Suits You Enjoy Our Exclusive Rates. Ad Weve Researched Lenders To Help You Find The Best One For You. FDIC Insured Online Banks Are A Great Place To.

Web A chattel mortgage or loan is a finance agreement allowing the borrower to take control of certain assets such as boats and machinery. In contrast a traditional mortgage is typically secured by a fixed property. Bank Mortgage Application Anytime Anywhere Connect With A Loan Officer.

Mortgages Perfected Over 30 Years. Looking For a House Loan. Ad See How Competitive Our Rates Are.


What Is A Chattel Mortgage When Should You Use One Sofi


Mortgage Broker How Does Mortgage Broker Work With Advantage


What Is A Chattel Mortgage For Auto Loans And How Does It Work Autodeal


Rental Contract Vs Chattel Mortgage Which Is Best For You Mildura Finance Limited


Chattel Mortgage Overview Examples What Is A Chattel Mortgage Video Lesson Transcript Study Com


Chattel Mortgage On Mobile Home Fill Out Sign Online Dochub


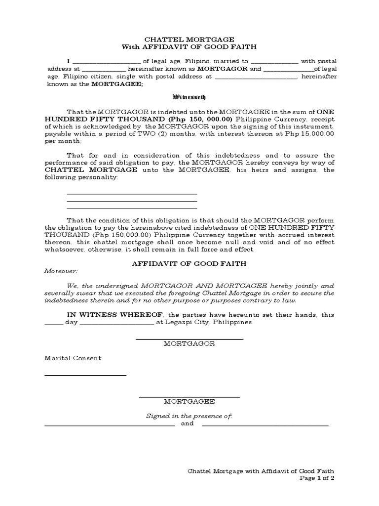
Chattel Mortgage With Affidavit Of Good Faith Pdf Mortgage Law Property


Notes On Chattel Mortgage Chattel Mortgage Article 2140 By A Chattel Mortgage Personal Property Studocu


Chattel Mortgage Synonyms 9 Words And Phrases For Chattel Mortgage


Chattel Mortgage


Loan To Value Ratio Example Explanation With Excel Template


Pledge Real Mortgage Antichresis Chattel Mortgage


Marginal Cost Of Capital Examples And Uses Of Marginal Cost Of Capital


Chattel Mortgage Meaning Examples How It Works


Craven County Chattel Mortgage Ecu Digital Collections


What S A Chattel Mortgage


Chattel Mortgage Report Mcqs Pdf Foreclosure Mortgage Law

Iklan Atas Artikel

Iklan Tengah Artikel 1

Iklan Tengah Artikel 2

Iklan Bawah Artikel